Welcome
Tutorials
In Defence of Pierre de Fermat 1601-1665
Prime Numbers - Weird? Not at all.
Vector Analysis of the Riemann-Zeta Function
Automorphic Functions (Complex Variables)
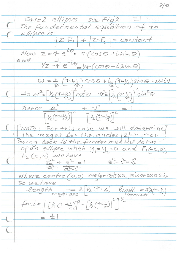
Mapping Functions - The Zhukovskii Function
Contact
Welcome
Tutorials
In Defence of Pierre de Fermat 1601-1665
Prime Numbers - Weird? Not at all.
Vector Analysis of the Riemann-Zeta Function
Automorphic Functions (Complex Variables)
Mapping Functions - The Zhukovskii Function
Contact
Mapping Functions - The Zhukovskii Function
Tutorial 54
Copyright © 2020 Garry Pilton