Welcome
Tutorials
In Defence of Pierre de Fermat 1601-1665
Prime Numbers - Weird? Not at all.
Vector Analysis of the Riemann-Zeta Function
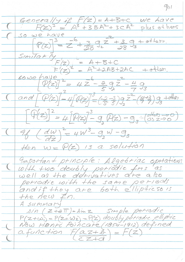
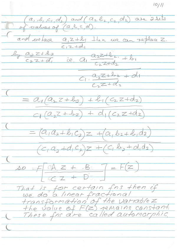
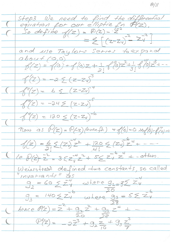
Automorphic Functions (Complex Variables)
Mapping Functions - The Zhukovskii Function
Contact
Welcome
Tutorials
In Defence of Pierre de Fermat 1601-1665
Prime Numbers - Weird? Not at all.
Vector Analysis of the Riemann-Zeta Function
Automorphic Functions (Complex Variables)
Mapping Functions - The Zhukovskii Function
Contact
Automorphic Functions (Complex Variables)
Tutorial 53
View fullsize
View fullsize
View fullsize
View fullsize
View fullsize
View fullsize
View fullsize
View fullsize
View fullsize
View fullsize
View fullsize
Copyright © 2020 Garry Pilton